×
Detail Form
We will send your result on your email id and phone no. please fill detail
,
and f(x) = x2 + 2, then f(A) equals

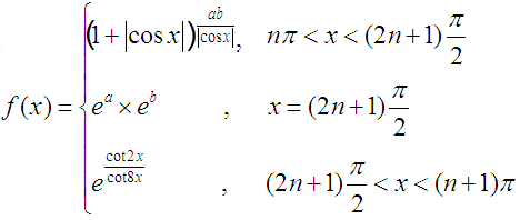
, then the global maximum and local minimum values of f(x) for x